126 игра. Лукоморья больше нет или 50 оттенков Лукоморья

sr126.jpg

Игра состоялась 27 июня 2015 года в рамках летнего сезона 2015 года.

В игре приняли участие 21 команда.

Организаторы: команда Штопор

Распределение мест и очков

Место Команда Очки
1 Попингуй 25
2 Клоны 20
3 Поколение PEPSI 18
4 Алюминиевый палтус 17
5 50 оттенков Сергеева вне зачета
6 Под_напряжением 16
7 "С днем рождения Юра!" 15
8 Тётушка Агата 14
9 Бешеные лисы 13
10 Членский взнос 12
11 Полный БаГ 11
12 Джен Псаки 10
13 Нон стоп 9
14 Зайцы-Мазайцы 8
15 ЁшKingКот 7
16 РЕССОРА 6
17 Искатели хрена 5
18 The Гараж 4
19 ПВО 3
20 Стальные гномы 2
21 Светлячки 1

За организацию игры команда Штопор получает 20 баллов.

Задания

В игре было 11 заданий и уровень для ввода глобальных бонусов. Так же командам была выдана предмиссия.

Предмиссия

1) На основе картинки из заголовка снять сказочное костюмированное видео, присутствие минимум 3 различных персонажей обязательно.

Видео команд можно посмотретьздесь

2. Найти объект и сфотографироваться с ним.

cs629223.vk.me_v629223655_3deb_ojboofmld40.jpg

Задание 1 (Агенты)

- Как жаль, что нет больше нашего Лукоморья – печалились Лешие – вот, где нам найти приют? - обратились они к Русалке. Русалка оглянув окрестности, задумалась, и взгляд её упал на Ученого Кота. Тот был на удивление беззаботен и напевал странную песенку на каком-то непонятном языке «…phileo, phileo…».

И тут Русалке пришла замечательная идея, где можно найти новое пристанище: «Если к слову, которое намурлыкивает Кот, - обратилась она к Лешакам – добавить «harmonia», то можно получить прекрасное место, за фасадом которого прячется роскошное дерево, и мы как будто очутимся снова в Лукоморье» – мечтательно вздохнула Русалка.

Задание 2

Летели 23 гуся и пели свою песенку. Доорались. Всех подстрелили и в рядом стоящий гараж забросили.

P.S. на локации 1 бонус

Задание 3

Когда Кащею скучно, он пересчитывает свои богатства. Иногда он шифрует адреса своих тайников.

sr126-z3.jpg

P.S. на локации 1 бонус

Задание 4

Царевна у нас знатная мастерица была. Но что-то случилось с ее горенкой. Отправляйтесь туда скорее.

P.S. на локации 1 бонус, не шуметь!

Задание 5

Ох уж эта баба Яга, любила колдовать. На этот раз решила она всей лесной нечисти способности раздать.

- Силу, Горыныч! На!

- Ум, Кот! На!

- Красоту, Русалка! На!

- Смелость, Волк! На!

- Лень, Лешаки! На!

- Почему всем хорошие способности, а нам лень? – возмутились Лешаки.

- Не спорить! – Я сказала, лень, на!

«Уже 96 раз это «на!» повторила, а толку от него никакого» - возмущенно сказал Кот Волку, и, переглянувшись, они убежали в гаражи.

P.S. на локации 1 бонус, не шуметь!

Задание 6

- Нет, они созданы друг для друга! - Кричала Царевна, отбиваясь от уносящего её Серого Волка. - Хлеб и Rama! Хлеб и Rama!

- Опять у неё припадок, - сокрушенно покачал головой Волк.- Насмотрелась своего телевизера. Тьфу!

- Не тьфу, а тха! Тха! - Снова возопила Царевна.

- Да не потащу я тебя туда, дура! Нам в маленькое здание напротив! Не в большое, а в маленькое!

P.S. На локации скрытый бонус

Задание 7

Ох, любил же Леший утаивать информацию от любопытных глаз, а её у него было очень много было, поскольку он все подряд записывал. Даже вот расстояния от своего дома до домов друзей записаны: · до Бабы Яги – 11,4 удава; · до Змея Горыныча – 70 мартышек; · до Русалки – 30,8 слоненка; · до Соловья-Разбойника – 32,8 слоненков; · до Водяного – 8,2 удавов; · до Кикиморы Болотной – 06 мартышки; · до Кота Баюна – 4,6 удавов; · до Ворожеи – 36,8 слоненка. Вот только измерения какие-то странные указаны, интересно, сколько же это будет в метрах?

P.S. на локации 1 бонус. Вход на локацию справа (по направлению подъезда).

Задание 8

Царевна, бывало, любила поиздеваться над путниками. Прикажет отловить ей парочку и давай их заставлять прелюбодействами басурманскими заниматься. Вот выдержки из описания одного такого действа:

…и потом, значится, этот мужчина сгибает ноги в коленях, о которые спиной опирается его партнёрша. Тут она, Царевна эта, как-то их хитро разворачивает и вот уже ба! лежат на боку, лицом друг к другу и она, поднимая ногу, сгибает её и кладёт на его бедро. Потом хоп - и опять мужчина сгибает ноги в коленях, о которые спиной опирается его партнёрша. Потом не помню ничего, за исключением того, что женщина наклоняется так, чтобы опираться руками на ступни ног, а мужчина кладёт руки ей на бёдра…

…ну а дальше что началось, мамочки родные, значится, они стоят лицом друг к другу, она поднимает одну ногу и, сгибая её в колене, обнимает ею талию мужчины. Представляете? Ужас! Кошмар! Разврат! Думаете это всё? Как бы не так! Потом эта самая женщина лежит на спине с перекрещенными ногами, а мужчина садится на неё сверху. Сверху! Садится! Ужас! А Царевна знай хохочет, пошлячка мелкая, да скачет вокруг них и плёткой своей хлещет. Я за этими размахиваниями и не заметил, как она их повернула и вот женщина, лёжа на спине, высоко поднимает широко разведённые ноги, а мужчина ложится на боку перпендикулярно к ней! От этого совсем дурно стало, но перед тем, как в обморок грохнуться, увидел, как женщина, широко расставив ноги, лежит на спине, а мужчина опускается на неё сверху, а после переворачивается на бок так, чтобы всё его тело оказалось бы под максимальным углом к ней, приняв одну её ногу к себе на грудь, а другую зажав между своими ногами! Кошмар!…

На локации 51 бонус.

Задание 9

- Маааайя, это майя схема размещения войск – орал Черномор на Колдуна, вырывая из его рук клочок бумаги со странными каракулями

sr126-z9.jpg

P.S. на локации 1 бонус, не шуметь

Задание 10

- Ну наконец-то простое задание! - вскричал Серый Волк и упал в обморок.

sr126-z10.jpg

P.S. на локации 1 бонус

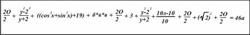
Задание 11 (агенты)

Баба Яга хитрая была да вредная, любила загадки всякие придумывать да путников с пути сбивать. Попробуй, спроси у нее дорогу, а она прямого ответа не дает, лишь к окошку подведет и больше ничего не объясняет.

sr126-z11.jpg

Глобальные бонусы

 
126_игра.txt · Последние изменения: 2015/07/06 16:30 Черный_Менестрель
 
Recent changes RSS feed Creative Commons License Donate Powered by PHP Valid XHTML 1.0 Valid CSS Driven by DokuWiki